Practicum Digital Signal Processing. Uitwerkingen bij opdracht 2.
De –3dB punten liggen op +/- de helft van de bandbreedte vanaf W0.
?0 = 2? / 48 = ? / 24 rad/s
Bandbreedte = ?0 / Q = (? / 24) / 55 = ? / 1320 rad/s
De bandbreedte in Hz = (? / 1320) * 48000 Hz = 114.24 Hz
1ste –3dB punt => 1000 Hz + 57.12 Hz = 1057.12 Hz
2de –3dB punt => 1000 Hz – 57.12 Hz = 942.88 Hz
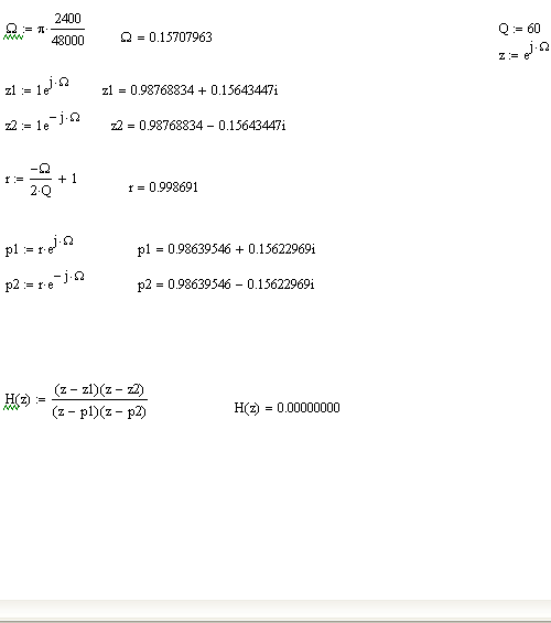
b. Differentie vergelijking :
Nulpunt(en):
z1 = 1
Polen:
z = e+/-j?/24 = 0.9914 + 0.1305j
?? = 2 . (1-r) = ? / 1320 => r = 1 - ? / 2640 = 0.9988
p1 = 0.9988 . e +j?/24
p2 = 0.9988 . e –j?/24
Vergelijking:
c. Aangepaste code:
y = (0.0006127*(x1 – x2) + 0.5267*y1 – 0.2653*y2);
y2 = y1;
y1 = y;
x2 = x1;
x1 = x;
return (y);
}
d. De –3dB punten:
?0 = 2? / 43.64 rad/s
Q = 55
?f = 20 Hz
-3dB punten => f0 +/- 10 Hz = 1090 Hz en 1110 Hz
e. Differentie vergelijking:
Nulpunt(en):
Polen:
Vergelijking:
f. Aangepaste code:
y = (0.2656*(x + 1.9794*x1 + 1.0001*x2) – 0.5257*y1 – 0.2653*y2);
y2 = y1;
y1 = y;
x2 = x1;
x1 = x;
return (y);
}

© Copyright 2025 Roderik Emmerink, hosting en webdesign door Archytas.
Alle rechten voorbehouden |